search
当前位置:首页> 产品介绍
xinjing New Materials

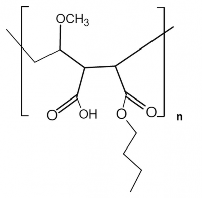
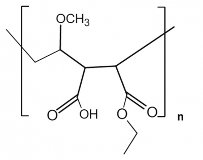
聚甲基乙烯基醚/马来酸酐共聚物

邓杜 15307111131

hbxj6@xinjingchem.com

 

中国 · 湖北

湖北省武汉市武昌区徐东大街6号 汇通新长江中心A座1201室